2009年07月

ペットボトルは、なぜあんな形をしているのか。
最近、飲み物はペットボトルで買う事が多い。自動販売機でもペットボトルの飲み物は普通に売っている。
まぁ、フタができるという利点があるから、カンよりも便利なんだろう。
ちなみに、PETというのは、ポリエチレンテレフタラート (Poly-Ethylene Terephthalate)の頭文字を集めたもの。
動物のペットとは何も関係ない。
飲料メーカーからしてみれば、飲み物の容器をどういうデザインにすればいいのか、というのは製品の売れ行きに直結する死活問題だろう。
その行き着く先として各社が採用しているペットボトルの形というのは、どのようにして決まったのか。
デザイン的に考えれば、どのような形が消費者の購買意欲をそそるのか、というリサーチは行われているのだろう。
しかし、これを純粋に数学の問題として考えると、容器というのは「いかに最小の原材料で、たくさん入る容器を作れるか」が勝負になる。
材料費と値段との釣り合いを考えると、少ない材料で最大の容量が賄えるのがベストだろう。

仮に飲み物の容器を上図のような形体と仮定し、それぞれの寸法をx, y, zとおく。
すると問題は、「容器の体積を一定と仮定し、その条件下で表面積のとる値の最小値を求めよ」という問題になる。
最大値・最小値を求める問題は、大学入試の数学の試験では定番ともいえる問題だ。
そもそも、数学を通して身につけるべき能力、「変化に気付き、その様子を把握する」という能力を磨くためには、最大最小問題は最適なのだろう。
高校までの数学で行う最大最小問題は、変数が1つ、せいぜい2つくらいの問題に限られる。すると使える道具は限られる。相加相乗平均、関数のグラフ化、微分積分という3大武器をもってすれば、ほとんどの問題は解ける。
ところが、実社会における変化率というのは、さまざまな変数が絡む、複雑なものだ。
上にあげたペットボトルの問題だって、話を単純にしても変数が3つもある。これらの変数から一般的な関数を導き、その最大値や最小値を求めるのは、非常にしんどい。3兎も4兎も同時に追う必要がある。
このような場合、どのような方法をとれば楽に求める解が得られるか。

ジョゼフ=ルイ・ラグランジュ (Joseph-Louis Lagrange, 1736-1813)
フランスの数学者。フランス革命という激動期に生き、オイラーと並び18世紀最高の数学者と称される。
主に、それまで抽象論であった数学を力学の分野に応用し、「使える数学」を確立した面で評価が高い。メートル法の実施にも尽力した。
ただし、実践一辺倒のリアリストだったわけではなく、四平方定理の発見など数論に関する業績や、高次方程式の解法に関する研究も行い、それはのちに同じフランスのガロアによって確立される群論の先駆けともなっていた。
マリー・アントワネットの数学教師としても有名。同じフランスの科学者ラボアジェが革命派に処刑されたときに言った「彼の頭を切り落とすのは一瞬だが、彼と同じ頭脳を持つものが現れるには100年かかるだろう」という言葉は、彼が残した言葉のうち最も有名だ。
ラグランジュは、変数がたくさんある変化率について、その最大値、最小値を簡単に導く方法を思いついた。
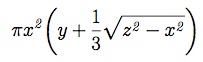
先ほどのペットボトルの問題を例にすると、その体積は

表面積は
と表せる。
ここからが問題だ。通常であれば、体積の式と任意の変数(たとえばx)について解き、それを表面式の式に代入し、体積の値を求める。
ただし、任意の変数についてその値を求めるためには、変数の数だけ式が必要となるため、計算がやたらと煩雑になる。
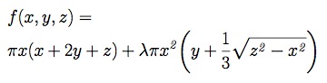
ラグランジュは、この手の問題を簡単に解くため、「体積が一定」という条件に目を付けた。
体積を求める式に、未定乗数のλ(ラムダ)をかけて、表面積の式に足す。
すると

という関数が導ける。
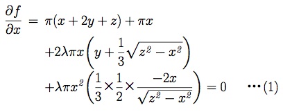
体積が一定ということは、変化率がない、すなわち微分した値がゼロになることを意味する。
そこで、さきほどの式をx, y, zについてそれぞれ微分して、その値をゼロとおく。



(2)からラムダの値を求め、それを(3)に代入すると、xがzについて解ける。
そのからλとxを(1)に代入すると、yがzについて解ける。
変数がλ、x, y, zと4つあるのに式が3つしかないので、それぞれの具体的な数値は出ない。しかし、問題の最大値を得るためには、定数比で十分なので、これで答えとなる。
式を解くと、
が得られる。つまり、このx, y, zがこの比になっているとき、一定の体積のときに表面積が最小になる。
もし求める体積が具体的に与えられているなら、x, y, zのそれぞれの具体的な値も定まる。
これが、「ラグランジュの未定乗数法」と呼ばれている解法だ。
この解法を一般化すると、次のような式となる。
f = g + λh
ラグランジュの未定常数法を覚えてしまうと、他変数関数の極値問題がやたらに簡単になる。必要なのはλという変数ひとつ。あとは微分を駆使しさえすれば、自動的に欲しい答えが手に入る。
人間の根源的な欲求、「もっと楽をしたい」をこれほど体現している数式も珍しいと思う。
「数学が何の役に立つのか」というのは中学、高校の生徒の定番の疑問だろう。
しかし、僕に言わせれば、数学以外で役に立つ学問など無い。「役に立つ」というのは道具に対して使う言葉であり、既存の学問の体系の中で、信用に足る思考の「道具」たり得るものは、数学しか存在しないと思う。
ペットボトルを作る際に、「原材料費を最小に抑えるような形を求めろ」という問いに直面したとき、ラグランジュの未定常数法を知っているのと知らないのとでは、雲泥の差がある。移動手段に関して言うと、徒歩と新幹線ほどの差がある。
ラグランジュの名前が一般的によく知られているのは、「ガンダム」シリーズに登場する概念「ラグランジュ・ポイント」だろう。
互いに回転し合う3つの質点の運動を解析した結果得られる平衡点のことだ。「ガンダム」の話で出てくる例としては、地球と月というふたつの要素に、宇宙ステーションをどの位置で配置すればいいのか、という計算の根拠として利用されている。ラグランジュ・ポイントの平衡点にそのステーションを配置すれば、位置制御のための燃料が少なくて済む。
ラグランジュの数学上の業績を辿ってみると、その仕事のほとんどが「最適化」という概念を追求したものであることが分かる。混沌のなかで、さまざまな要素が入り乱れる状態にあって、最もエネルギーのロスが少ない、ストレスのかからない状態を導くには、どうすればいいのか。その問いを具体的な形で具現した研究が多い。
おそらく、フランス革命という世界史上未曾有の混乱期にあって、安定と平穏を求める指向が、このような研究方針の背景になっていたと思う。明日の世界がどうなっているか分からない時代に生きたラグランジェにとっては、「最適な状態を模索すること」は、切実な願いでもあったのだろう。
数学にむいている人というのは、ものぐさな人だと思う。
既存の方法論に満足せず、「もっと簡単な方法はないか」「もっと楽な方法はないか」というアルゴリズムの確立に熱中し、幾晩もの徹夜と必死の努力を重ねる。そういう、どこか本末転倒なおバカさんが、数学に向いているのだと思う。
ラグランジェは、激動のフランス革命期で数多の知識人が処刑された中、生き残っている。
僕の勝手な想像だが、「生き方が上手かった」「処世術に長けていた」という感じの人ではなかったと思う。知識と才能で立身出世を目論む野心家というよりも、「もっとラクができる方法はないかなぁ」という、のんきな性格だったのではあるまいか。
彼の数学上の業績を俯瞰すると、僕のイメージとしては「えー、こうした方がラクなのにー」と、一歩先の便利なアイデアを次々と生み出すナマケモノ、というラグランジュ像が浮かんで仕方がない。そういうのんびりした性格が敵をつくりにくかったのではないか。
現在の数学では、未定乗数といえばλが使われる慣習になっている。 これは、この方法論を確立したラグランジュのイニシャル"L"に相当するギリシャ文字が、λであることに由来する。
現在では、経済学、工学、物理学など数学以外の分野でも、未定項の値を確定しないまま計算の出力値が定まっている式の変数条件を確立する計算には、λが使われる。
僕が専門にしている理論言語学も、λのお世話になっている。意味論の分野では、ラムダ計算という合成意味論の計算がよく使われる。集合論によって分類した世界の外延を、関数の手法で合成して真偽値をもつ文のレベルまで組み上げるアルゴリズムだ。ラムダ計算によって意味計算を行う過程は、それぞれの語彙が表す世界の断片から、言語情報の伝える世界の全体像を組み上げる壮大なパズルのようなものだ。僕が書く論文にもλがよく登場する。
λを使って真理条件を導く計算式をつくっている時、「もしこのλがなければ、どんな複雑な計算になるんだろう」と思って、ぞっとすることがある。
ペンギン命
takutsubu
ここでもつぶやき
趣味。
ネタ元
バックナンバー長いよ。
かんたんアクセス
記事検索


